Ford Explorer: Зеркала заднего вида / Описание и работа — Зеркала заднего вида — Работа системы и описание компонентов

Руководство по эксплуатации Форд Эксплорер 2020-2023 гг. / Кузов и краска / Кузов и краска / Зеркала заднего вида / Описание и работа - Зеркала заднего вида - Работа системы и описание компонентов

Работа системы

Схема системы — внешний вид, питание, без памяти


Элемент Описание
1 Переключатель управления наружными зеркалами
2 Переключатель управления стеклоподъемником левой передней двери
3 ЛИН
4 МС-CAN
5 ДДМ
6 ДПМ
7 Левое наружное зеркало
8 правое наружное зеркало

Таблица сетевых сообщений

Сетевые входные сообщения модуля — PDM


Трансляция сообщение Исходный модуль Сообщение Цель
Управление пассажирским зеркалом ДДМ Содержит запросы на перемещение стекла правого наружного зеркала заднего вида, генерируемые переключателем управления наружными зеркалами.

Работа системы — внешний вид, питание, без памяти

Все функции электропривода зеркал объединены в один модуль переключателей (встроен в переключатель управления стеклоподъемником левой передней двери). Левая и правая боковые кнопки выбора имеют светодиод чтобы указать, какая сторона активна, а навигационная панель используется для направленное управление. Нейтральное положение достигается нажатием горящей кнопки, чтобы отключить левое или правое наружное зеркало или разрешить системе тайм-аут и сброс в нейтральное положение.

Когда переключатель направления наружного зеркала заднего вида нажимается влево, вправо, вверх или вниз при выбранном левом или правом наружном зеркале, запрос движения отправляется на DDM через цепь LIN. Если выбрано левое зеркало, DDM подает напряжение и массу на соответствующий электродвигатель левого наружного зеркала. Если выбрано правое зеркало, DDM отправляет командное сообщение зеркала пассажира с вводом от переключателя управления наружными зеркалами в PDM по MS-CAN. Затем PDM подает напряжение и землю на соответствующий Электродвигатель правого наружного зеркала заднего вида. DDM и PDM управляют движением стекла путем изменения полярности цепей напряжения и заземления, подаваемых на каждый двигатель.

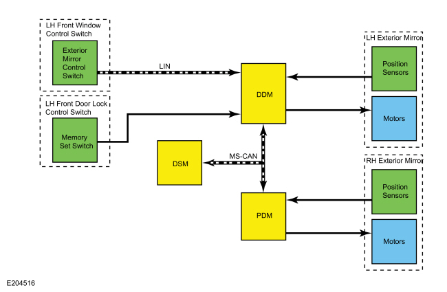
Схема системы — внешний вид, питание, с памятью


Элемент Описание
1 ЛИН
2 Переключатель управления наружными зеркалами
3 Переключатель набора памяти
4 Датчики положения
5 ЦСМ
6 ДДМ
7 МС-CAN
8 ДПМ
9 Моторы
10 Переключатель управления левым передним стеклом
11 Левое наружное зеркало
12 Датчики положения
13 Моторы
14 правое наружное зеркало
15 Выключатель управления замком левой передней двери

Таблица сетевых сообщений

Сетевые входные сообщения модуля — DDM и PDM


Трансляция сообщение Исходный модуль Сообщение Цель
Команда памяти ЦСМ Дает команду дверным модулям инициировать сохранения или вызова памяти и используется для отмены вызова памяти, который находится в прогресс.

Сетевые входные сообщения модуля — DSM


Трансляция сообщение Исходный модуль Сообщение Цель
Ручное управление зеркалом ДДМ Используется для прерывания вызова памяти, если переключатель управления наружными зеркалами нажат в любом направлении, в то время как происходит воспоминание.
Состояние переключателя памяти ДДМ Указывает состояние каждой кнопки переключения памяти (нажата или не нажата).

Работа системы — внешняя, силовая, с памятью

ПРИМЕЧАНИЕ: Если DDM или PDM обнаруживает неисправность цепи обратной связи двигателя зеркала, стратегия тайм-аута отключает операции с памятью на 30 секунд, чтобы предотвратить повреждение системы. После 30-секундного тайм-аута нормальная работа возобновляется.

Все функции электропривода зеркал объединены в один модуль переключателей (встроен в переключатель управления стеклоподъемником левой передней двери). Левая и правая боковые кнопки выбора имеют светодиод чтобы указать, какой из них активен, и навигационная панель используется для направленное управление. Нейтральное положение достигается нажатием горящей кнопки, чтобы отключить левое или правое наружное зеркало или разрешить системе тайм-аут и сброс в нейтральное положение.

Когда переключатель направления наружного зеркала заднего вида нажимается влево, вправо, вверх или вниз при выбранном левом или правом наружном зеркале, запрос движения отправляется на DDM через цепь LIN. Если выбрано левое зеркало, DDM подает напряжение и массу на соответствующий электродвигатель левого наружного зеркала. Если выбрано правое зеркало, DDM отправляет командное сообщение зеркала пассажира с вводом от переключателя управления наружным зеркалом на PDM. Затем PDM подает напряжение и массу на соответствующий электродвигатель правого наружного зеркала заднего вида. DDM и PDM управляют движением стекла путем изменения полярности цепей напряжения и заземления, подаваемых на каждый двигатель.

Когда инициируется вызов или сохранение памяти, DSM отправляет сообщение команды памяти на DDM и PDM через MS-CAN. На основании этого сообщения DDM и PDM вызов запрошенного предустановленного положения зеркала из внутренней памяти или сохраните текущее положение зеркала, чтобы оно соответствовало запрошенному предустановлен. Во время вызова памяти DDM и PDM подайте напряжение и заземлите на соответствующие электродвигатели наружных зеркал, чтобы достичь желаемых позиций памяти, которые хранятся в памяти на основе обратная связь от потенциометров двигателя зеркала. Для поддержки памяти функции, DDM подает опорное напряжение 5 В и землю на левый потенциометры двигателя зеркала, а PDM подает опорное напряжение 5 В и землю на потенциометры двигателя правого зеркала. DDM отслеживает напряжение обратной связи от горизонтального и вертикального потенциометров для определения положения стекла левого зеркала, а PDM отслеживает напряжение обратной связи от горизонтального и вертикального потенциометров для определения положения правого зеркала. Если переключатель управления наружными зеркалами активируется в любом направлении во время вызова из памяти, DDM отправляет сообщение ручного управления зеркалами в DSM. После получения этого сообщения DSM отправляет сообщение команды памяти, чтобы прервать вызов памяти. После отмены отзыва DDM или PDM ответить на входы переключателя управления наружными зеркалами. Воспроизведение памяти также прерывается если переключатель управления сиденьем водителя активирован в любом направлении во время отзыв памяти.

Предварительные настройки положения стекла левого наружного зеркала сохраняются в DDM, а заданные положения стекла правого наружного зеркала сохраняются в PDM.

Сохранение памяти может быть инициировано переключателем установки памяти. Вызов памяти может быть инициирован переключателем установки памяти, кнопкой RKE. передатчик или клавиатура бесключевого доступа. Для получения дополнительной информации о вызов памяти или сохранение памяти, см. литературу владельца.

Для получения дополнительной информации о функции памяти см.
См.: Передние сиденья — работа системы и описание компонентов (501-10A Передние сиденья, описание и работа).

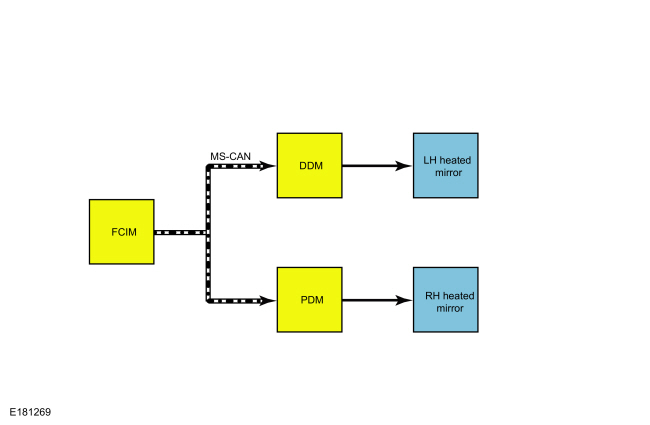
Схема системы — снаружи, с обогревом


Элемент Описание
1 левое зеркало с подогревом
2 правое зеркало с подогревом
3 ФКИМ
4 МС-CAN
5 ДДМ
6 ДПМ

Таблица сетевых сообщений

Сетевые входные сообщения модуля — DDM и PDM


Трансляция сообщение Исходный модуль Сообщение Цель
Запрос тепла зеркала ФКИМ Используется для включения и выключения обогрева стекла наружного зеркала заднего вида.

Работа системы - снаружи, с подогревом

система обогрева заднего стекла управляет работой обогревателя стекло наружного зеркала заднего вида и, при наличии, обогрев стекла корректирующего зеркала. Стекло наружного зеркала с обогревом и стекло зеркала с подогревом корректировщика работает только при включенной системе обогрева заднего стекла.

Зеркала с подогревом нагреваются в течение 10 минут при работающем двигателе и включенной системе оттаивания.

На основе сообщения с запросом на обогрев зеркал, полученного от FCIM через MS-CAN, DDM управляет работой левого стекла наружного зеркала с подогревом, а PDM управляет работой стекла правого наружного зеркала с подогревом. Стекла левого и правого зеркал с подогревом не имеют одинаковой поверхности.

На автомобилях, оснащенных левым наружным зеркалом с автоматическим затемнением, стекло левого наружного зеркала размораживается дольше, чем стекло правого наружного зеркала, из-за различий в толщине стекла зеркала.

Если Обогрев заднего стекла также может включаться и выключаться. с помощью голосовых команд или касанием кнопки обогрева заднего стекла расположен на сенсорном интерфейсе (FDIM). Для получения дополнительной информации о функциях, управляемых голосом или сенсорным экраном, см. литературу владельца.

Дополнительную информацию о системе обогрева заднего стекла см.
См.: Стекло, рамы и механизмы – Работа системы и описание компонентов (501-11 Стекло, рамы и механизмы, Описание и работа).

Работа системы — внешнее автоматическое затемнение

левый наружное зеркало имеет функцию автоматического затемнения. Эта особенность автоматически уменьшает блики, вызванные ярким светом позади автомобиля в ночное время Внутреннее зеркало заднего вида с автоматическим затемнением подает напряжение и землю для электронного затемнения LH стекло наружного зеркала. Уровень отражения зеркального стекла переменная и зависит от количества бликов сзади по отношению к окружающему условия освещения перед внутренним зеркалом.

Для улучшения видимости при движении задним ходом внутреннее зеркало заднего вида с автоматическим затемнением и левое зеркало заднего вида. стекло наружного зеркала автоматически возвращается в режим высокой отражательной способности всякий раз, когда автомобиль движется ЗАДНИМ ХОДОМ, независимо от внешнего освещения. условия.

Работа системы — ручное затемнение салона

Внутреннее зеркало заднего вида с ручным управлением можно отрегулировать из дневного положения в ночное положение, чтобы уменьшить нежелательные блики, вызванные фарами от позади автомобиля. Регулировка внутреннего зеркала выполняется с помощью язычка день/ночь, расположенного в нижней части внутреннего зеркала заднего вида. Потянув за язычок назад, к водителю, зеркало отрегулируется по ночное положение. Нажатие крана вперед, от водителя, регулирует зеркало в дневное положение.

Работа системы — автоматическое затемнение салона

функция автоматического затемнения активна каждый раз, когда зажигание включено. внутреннее зеркало с автоматическим затемнением использует 2 встроенных фотоэлектрических датчика для определять условия внешнего освещения. Когда передний датчик обнаруживает дневные условия, датчик, обращенный назад, неактивен и зеркальное стекло остается в режиме высокой отражательной способности. Когда вперед датчик, обращенный лицом, обнаруживает ночные условия, датчик, обращенный назад активен. Когда яркий свет (блики) обнаружен задним перед датчиком, зеркальное стекло затемняется электронным способом. Предоставлять повышенная обзорность при движении задним ходом, внутреннее зеркало заднего вида автоматически возвращается в режим высокой отражательной способности в любое время при включении задней передачи выбирается независимо от условий внешнего освещения.

Компонент Описание

Переключатель управления наружными зеркалами

Переключатель управления наружными зеркалами представляет собой контактный переключатель мгновенного действия, встроенный в переключатель управления стеклоподъемником левой передней двери, который подключен к DDM через цепь LIN. Светодиод на каждой кнопке выбора наружного зеркала заднего вида загорается, показывая, какое наружное зеркало выбрано для регулировки.

Внешнее зеркало

Каждый наружное зеркало имеет 2 двунаправленных двигателя, которые используются для управления положение стекла наружного зеркала. Регулировка наружного зеркала переключатель управления в положение LH или RH определяет, какой электродвигатель наружного зеркала следует контролировать.

Если оборудуются наружными зеркалами с подогревом, наружные зеркала с подогревом используют нагревательные элементы, встроенные в стекло наружного зеркала заднего вида.

При наличии левого наружного зеркала заднего вида с автоматическим затемнением левое наружное зеркало заднего вида с автоматическим затемнением, электронное затемнение при ярком освещении обнаружен свет сзади автомобиля в ночных условиях.

При наличии зеркал с памятью каждый привод наружного зеркала оснащен встроенным потенциометром, который контролируется модулем DDM (левое зеркало) или PDM (правое зеркало) для определения положения стекла наружного зеркала. DDM и PDM могут устанавливать диагностические коды неисправностей (DTC) для зеркальных цепей.

наружные зеркала используют жгут перемычек между проводкой автомобиля жгут проводов, электродвигатели наружных зеркал и подогрев стекол зеркал. Соединительный жгут наружного зеркала заднего вида встроен в наружное зеркало. Перед заменой наружного зеркала или двигателя осмотрите жгут проводов. на наличие обрывов, коротких замыканий или поврежденных и выдвинутых контактов. Если проблема с соединительным жгутом наружного зеркала, попытайтесь отремонтировать жгут перемычек.

наружные зеркала могут включать указатели поворота. Для дополнительных информация об индикаторах поворотников на зеркалах,
См.: Сигналы поворота и аварийная сигнализация (417-01 Наружное освещение, диагностика и проверка).

Наружные зеркала могут включать подсветку луж. Дополнительную информацию о лампах для луж в зеркалах см.
См.: Внутреннее освещение (417-02 Внутреннее освещение, диагностика и проверка).

Наружные зеркала могут включать светодиоды (LED) BLIS®. Для получения дополнительной информации о BLIS® с креплением на зеркало см.
См.: Информационная система слепых зон (419-04 Боковое и заднее зрение, диагностика и проверка).

ДДМ

Что касается функций внешнего электроснабжения, DDM получает запросы на перемещение зеркал по цепи LIN от переключателя управления стеклоподъемником левой передней двери. Когда выбрано левое наружное зеркало, DDM подает напряжение и массу на соответствующий электродвигатель левого наружного зеркала, чтобы стекло зеркала перемещалось в нужном направлении. DDM отправляет запросы на перемещение правого наружного зеркала в PDM через MS-CAN.

Если автомобиль оснащен зеркалами с функцией памяти, DDM контролирует потенциометры в левом наружном зеркале, чтобы определить положение стекла наружного зеркала. Предварительно заданные позиции памяти для стекла левого наружного зеркала сохраняются в DDM.

Если автомобиль оснащен обогревом наружных зеркал без памяти зеркал, на основе сообщения с запросом на обогрев зеркал, полученного от FCIM, DDM управляет работой стекла левого наружного зеркала с подогревом.

При возникновении проблем DDM может устанавливать и сохранять диагностические коды неисправностей (DTC) для LH. цепи привода электродвигателя наружного зеркала, цепи датчика положения (если оборудовано), электрические цепи электродвигателя складывания зеркал (при наличии) и обогревателя зеркал цепь (при наличии).

ДПМ

Для функций внешнего питания, когда выбрано правое наружное зеркало, PDM подает напряжение и массу на соответствующий электродвигатель правого наружного зеркала, чтобы стекло зеркала перемещалось в нужном направлении на основе сообщений, полученных от DDM через MS-CAN.

Если автомобиль оборудован зеркалами с функцией памяти, PDM контролирует потенциометры в правом наружном зеркале, чтобы определить положение стекла наружного зеркала. Предустановленные позиции памяти для стекла правого наружного зеркала сохраняются в PDM.

Если автомобиль оснащен обогревом наружных зеркал и без памяти зеркал, на основании сообщения с запросом на обогрев зеркал, полученного от FCIM, PDM управляет работой стекла правого наружного зеркала с подогревом.

При возникновении проблем PDM может устанавливать и сохранять диагностические коды неисправностей (DTC) для правого руля. цепи привода электродвигателя наружного зеркала, цепи датчика положения (если оборудовано), электрические цепи электродвигателя складывания зеркал (при наличии) и обогревателя зеркал цепь (при наличии).

Внутреннее зеркало заднего вида с ручным затемнением

Внутреннее зеркало заднего вида с ручным затемнением имеет рычаг сзади зеркало, которое водитель должен потянуть вперед или отодвинуть назад, чтобы активировать функцию ручного затемнения. Ручное затемнение полностью контролируется водителем.

Внутреннее зеркало заднего вида с автоматическим затемнением

зеркало заднего вида с автоматическим затемнением имеет 2 фотоэлектрических датчика, один на перед зеркалом (лицом к лобовому стеклу) и один сзади зеркало (в верхней части зеркального стекла). На основе данных из этих датчики, функция автоматического затемнения регулирует уровень отражения внутреннее зеркало заднего вида для устранения нежелательных бликов. уровень отражения зеркального стекла является переменным и зависит от количество задних бликов по отношению к условиям окружающего освещения перед внутреннее зеркало.

Описание и работа — Зеркала заднего вида — Обзор

Обзор Внешний вид, Мощность Этот автомобиль оборудован левыми и правыми зеркалами с электроприводом. Система зеркал с электроприводом позволяет позиционировать стекло наружного зеркала с помощью электроники...

Диагностика и тестирование — зеркала заднего вида

Диаграмма DTC: DDM Диагностика, описанная в данном руководстве, предполагает наличие определенного уровня навыков и знаний методов диагностики, характерных для Ford. СМ.: Методы диагностики (100-00 Общая информация, Описание и..

Дополнительная информация:

Руководство по обслуживанию Ford Explorer 2020-2023: Снятие и установка - передний сальник коленчатого вала


Специальные инструменты) / Общее оборудование 303-096 (Т74П-6150-А) Установщик переднего масляного уплотнения распределительного валаTKIT-2009TC-F 303-409 (T92C-6700-СН) Съемник сальника коленчатого валаTKIT-1992-FH/FMH/FLMHTKIT-1993-LMH/MH Удаление УВЕДОМЛЕНИЕ: При проведении ремонтных работ двигателя чистота чрезвычайно важна. важный...

Руководство по обслуживанию Ford Explorer 2020-2023: Снятие и установка — выключатель стояночного тормоза


Удаление ПРИМЕЧАНИЕ: Действия по удалению в этой процедуре могут содержать сведения об установке. ПРИМЕЧАНИЕ: Переместите передние сиденья вперед и назад, чтобы получить доступ к компонентам напольной консоли. Освободите фиксаторы и снимите правую (правую) боковую панель отделки напольной консоли...

Каталог запчастей к Ford Explorer