Hyundai Kona: Процедуры ремонта системы впуска и выпуска / турбокомпрессора

Снятие и установка
1.
Снимите коллектор турбонагнетателя.
(См. Система впуска и выпуска — «Турбокомпрессор и выпускной коллектор»)
Осмотр на автомобиле
Поток диагностики турбокомпрессора

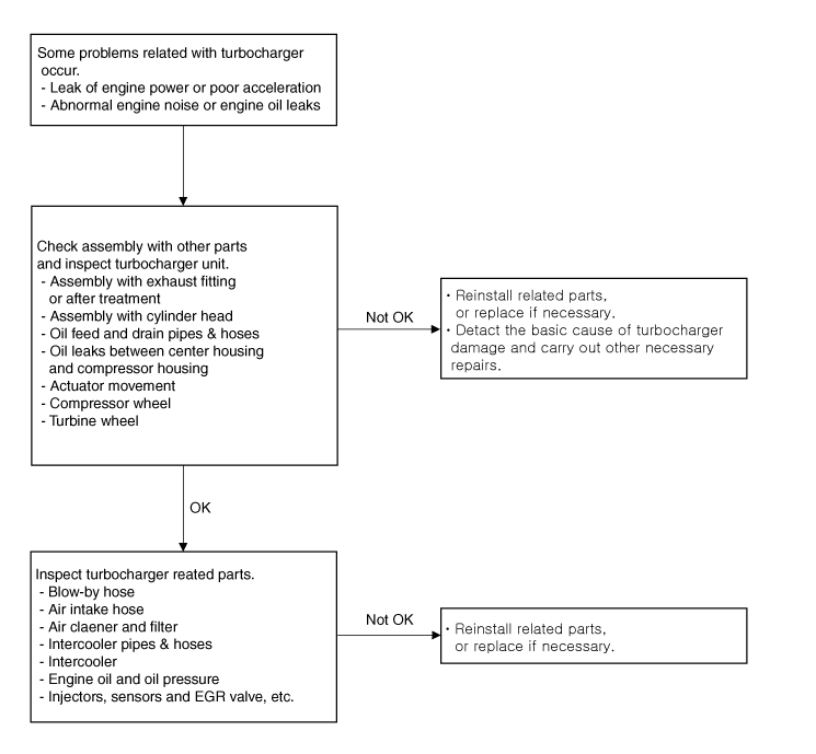
Если есть какие-либо проблемы, связанные с турбокомпрессором, такие как недостаточная мощность двигателя, плохой ускорение, ненормальный шум двигателя или утечка масла, проверьте турбонагнетатель в соответствии с процедурой следующим образом.
1.
Проверьте сборку турбокомпрессора и выпускного патрубка (или после лечения).
Проверьте, установлена ​​ли прокладка.
Убедитесь, что монтажные болты (или гайки) затянуты должным образом.
Проверьте на утечку газа.
Проверьте наличие повреждений, например трещин, на деталях.
Утечка газа из-за отсутствия прокладки или недостаточно затянутого крепления болты (или гайки) могут вызвать ненормальный шум двигателя.
Если причина проблемы обнаружена, подтяните болты крепления (или гайки) с указанным крутящим моментом или замените прокладку или поврежденные детали. с новыми при необходимости.
2.
Проверьте сборку выпускного коллектора и головки блока цилиндров.
Проверьте, установлена ​​ли прокладка.
Убедитесь, что крепежные болты (или гайки) затянуты должным образом.
Проверьте на утечку газа.
Утечка газа из-за отсутствия прокладки или недостаточно затянутого крепления болты (или гайки) могут вызвать ненормальный шум двигателя.
Если причина проблемы обнаружена, подтяните болты крепления (или гайки) с указанным крутящим моментом или при необходимости установите новую прокладку.
3.
Проверьте трубку и шланг подачи масла турбонагнетателя, а также трубку и шланг слива масла.
Проверьте, установлена ​​ли прокладка.
Проверьте, правильно ли затянуты крепежные болты.
Проверьте, на месте ли зажимы.
Проверьте, не повреждены ли маслопроводы и шланги (согнуты, раздавлены, порваны). или треснул).
Если утечка газа произошла из-за того, что не была установлена ​​прокладка или болты крепления были затянуты неправильно, это может привести к утечке масла.
Если труба и шланг подачи масла повреждены, моторное масло не подается в достаточном количестве. к турбокомпрессору, это может повредить турбокомпрессор. Если масло сливная трубка и шланг повреждены и засорены, моторное масло не сливается плавно, это может привести к утечке масла из турбонагнетателя.
Если причина проблемы обнаружена, подтяните болты крепления (или гайки) с указанным крутящим моментом или замените прокладку или поврежденные детали. с новыми при необходимости.
4.
Проверьте наличие утечек масла между центральным корпусом и корпусом компрессора.
Убедитесь, что монтажные болты затянуты должным образом.
Проверьте на утечку масла.
Повреждено уплотнительное кольцо (прокладка) между центральным корпусом и компрессором корпус может привести к утечке масла.
Если обнаружена утечка масла, замените турбокомпрессор на новый.
5.
Осмотрите узел штока электрического привода перепускной заслонки (EWGA).
Убедитесь, что установочные метки штока (A) на EWGA совпадают.

Поврежденный привод турбокомпрессора может привести к снижению мощности двигателя и плохой ускорение.
Если шток привода не двигается, замените турбокомпрессор новым. один.
6.
Проверьте электрический привод перепускной заслонки (EWGA).
Электрический привод перепускной заслонки (EWGA): проверьте движение шток привода при выполнении принудительного режима работы привода по ГДС. (См. руководство по коду неисправности)

Если привод турбокомпрессора поврежден, это может привести к отсутствию мощность двигателя и плохое ускорение.
Если шток привода не двигается, замените турбокомпрессор. с новым.
7.
Проверьте колесо компрессора турбонагнетателя.
Проверьте, не повреждено ли колесо компрессора (погнуто или деформировано).
Убедитесь, что колесо компрессора вращается плавно.
например

Поврежденное колесо компрессора может вызвать ненормальный шум от турбонагнетателя. и плохой разгон.
Если колесо компрессора повреждено или деформировано, замените турбокомпрессор. с новым.
8.
Проверьте турбинное колесо турбонагнетателя.
Проверьте, не повреждено ли турбинное колесо.
Убедитесь, что колесо турбины вращается плавно.
например

Поврежденное колесо турбины может вызвать ненормальный шум от турбонагнетателя. и плохой разгон.
Если турбинное колесо повреждено или деформировано, замените турбокомпрессор. с новым.
Если с турбокомпрессором проблем не обнаружено, проверьте относящуюся к турбокомпрессору части в соответствии с процедурой следующим образом.
9.
Проверьте продувочный шланг. (См. группу FL)
Проверьте, не поврежден ли шланг сапуна (перегнут, засорен).
Проверьте, не засорен ли клапан принудительной вентиляции картера (PCV).
Если шланг сапуна согнут или засорен, внутреннее давление в увеличится, и моторное масло не будет плавно поступать в турбонагнетателя, вызывая повреждение турбонагнетателя и утечку масла.
Если причина проблемы обнаружена, замените вентиляционный шланг или родственные части новыми.
10.
Проверьте шланг воздухозаборника, подсоединенный к турбонагнетателю.
Проверьте, не поврежден ли шланг воздухозаборника (согнут, раздавлен, отсоединен). или порванный).
Если поперечное сечение шланга уменьшается по мере того, как воздухозаборный шланг согнуты или раздавлены, всасывание воздуха в турбокомпрессор будет уменьшено и давление перед турбонагнетателем упадет, что приведет к повреждению турбокомпрессор или утечка масла. Если шланг воздухозаборника отсоединен или порван, посторонние вещества могут попасть в турбокомпрессор и повредить его.
Если шланг воздухозаборника поврежден, замените его новым.
11.
Проверьте воздухоочиститель.
Проверьте фильтр воздухоочистителя на предмет загрязнения.
Проверьте фильтр воздухоочистителя на попадание воды.
Проверьте крышку воздухоочистителя на загрязнение.
Убедитесь, что фильтр воздухоочистителя является оригинальной деталью.
Если фильтр воздухоочистителя чрезмерно увлажнен или загрязнен или используется неоригинальная деталь, поступление воздуха в турбокомпрессор будет уменьшено и давление перед турбонагнетателем упадет, что приведет к повреждению к турбонагнетателю и течи масла.
Если фильтр воздухоочистителя чрезмерно увлажнен или загрязнен, замените его. это с новым.
Замените фильтр воздухоочистителя в соответствии с техническим обслуживанием. расписание.
12.
Проверьте патрубки и патрубки интеркулера.
Убедитесь, что шланги и трубки промежуточного охладителя подсоединены правильно.
Проверьте, не повреждены ли шланги и трубки промежуточного охладителя (согнуты, отсоединены). или порванный).
Проверьте наличие повреждений, таких как трещины, на патрубках промежуточного охладителя.
Убедитесь, что зажимы установлены на свои места.
Если шланги и трубки промежуточного охладителя повреждены или отсоединены, утечка масла может произойти из шлангов и труб, а турбонагнетатель может превысить допустимой скорости, вызывающей повреждение турбонагнетателя.
Если шланги и трубки промежуточного охладителя повреждены, замените их новыми. те.
Используйте новые хомуты при замене шлангов и труб.
13.
Проверьте интеркулер.
Проверьте, не повреждены ли патрубки и бачки промежуточного охладителя (утечка масла). или трещина).
Если интеркулер поврежден, турбонагнетатель может превысить допустимую скорость, вызывающая повреждение турбонагнетателя.
Если интеркулер поврежден, замените его новым.
При замене интеркулера используйте новые хомуты.
14.
Проверьте моторное масло.
Проверьте уровень моторного масла.
Проверьте моторное масло на изменение цвета, приток воды и вязкость. деградация.
Проверьте класс моторного масла.
Если уровень моторного масла низкий, количество моторного масла, подаваемого в турбокомпрессор, будет уменьшаться, что приведет к заеданию подшипников в турбокомпрессоре из-за к недостаточной смазке и охлаждению.
Если причина проблемы обнаружена, долейте или замените моторное масло.
Замените моторное масло в соответствии с графиком технического обслуживания.
15.
Проверьте давление масла в двигателе.
Давление масла в двигателе: проверьте давление масла с помощью манометр после снятия датчика давления масла в цилиндре блокировать.
Проверьте сетку моторного масла в масляном поддоне, если моторное масло уровень низкий. Затем проверьте форсунки на утечку газа, если посторонние вещества скапливаются на масляном экране.
Если уровень моторного масла низкий, количество моторного масла, подаваемого в турбокомпрессор, будет уменьшаться, что приведет к заеданию подшипников в турбокомпрессоре из-за к недостаточной смазке и охлаждению.
Если причина проблемы обнаружена, долейте или замените моторное масло. Если на масляном экране скопились посторонние вещества, промойте масляный экран и замените шайбу форсунки на новую после проверки Форсунки на утечку газа. Проверьте детали, связанные с моторным маслом, такие как масляный насос, если необходимо.
Поскольку турбокомпрессор вращается с высокой скоростью 100 000 оборотов в минуту или выше ухудшение качества моторного масла может привести к повреждение подшипников турбокомпрессора. Проверьте моторное масло на обесцвечивание, приток воды, снижение вязкости и снижение давления масла.
16.
Проверьте форсунки, датчики и т.
(См. блок управления двигателем/топливная система)
Проверьте правильность работы форсунок.
Убедитесь, что датчики, такие как датчик массового расхода воздуха (MAFS), датчик температуры впускного воздуха (IATS) и датчик давления наддува (BPS), работайте правильно.
Неправильная работа форсунок, датчиков, клапана EGR и т. д. может привести к уменьшилась мощность двигателя.
Если причина проблемы обнаружена, замените соответствующие детали на новые.
Компоненты турбонагнетателя и их расположение
Компоненты 1. Турбина Корпус 2. Вход в турбину 3. Выход из турбины 4. Корпус компрессора 5. Вход компрессора 6. Компрессор выход 7. Центр хо...

Глушитель Компоненты и расположение компонентов
Компоненты 1. Спереди глушитель 2. ГПФ 3. Центральный глушитель 4. Задний глушитель 5. Прокладка 6. Вешалка ...
Дополнительная информация:

Hyundai Kona (OS) 2018-2023 Руководство по техническому обслуживанию: Наружная ручка задней двери Расположение узлов и деталей
Расположение компонента 1. Наружная ручка задней двери ...

Hyundai Kona (OS) 2018-2023 Руководство по эксплуатации: Напоминание о сервисном обслуживании
Если оставшийся пробег или дни меньше 1500 км или 30 дней, сервисное напоминание будет отображаться с предупреждающим звуковым сигналом в течение нескольких секунд каждый раз, когда вы поворачиваете ключ зажигания в положение ON. Информация Чтобы изменить или деактивировать интервал обслуживания, обратитесь в авторизованный сервисный центр HYUNDAI. дилер. ...