Kia Stonic: Motorelektrik / Zündsystem

Ремонт Kia Stonic (YB) / Моторэлектрик / Zündsystem

Beschreibung und bedienung
Beschreibung

Die Zündverstellung wird durch das elektrische Zündverstellsystem gesteuert.

Die Standardreferenz-Zündverstelldaten für die Betriebsbedingungen sind im Speicher des Motorsteuermoduls (ECM) gespeichert.

Die Motorbetriebsbedingungen (Drehzahl, Last, Erwärmungszustand usw.) werden фон verschiedenen Sensoren überwacht. Auf der Grundlage dieser Sensorsignale und der Zündverstelldaten werden Signale zur Unterbrechung des Primärstroms an das ECM übermittelt.

Die Zündspule wird aktiviert und die Zündverstellung optimiert.

Репаратурверфарен
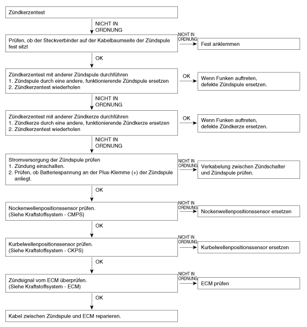
PRÜFUNG AM FAHRZEUG
Zündspule überprüfen und Zündkerzentest дурхфюрен.
1.

Fehlercodes überprüfen.

Liegt ein Fehlercode, die Fehlersuche unter Beachtung des entsprechenden Verfahrens durchführen. (Siehe Fehlercodeanleitung)

2.

Auf Funken prüfen.

(1)

Motorabdeckung abbauen.

(2)

Митлерен Вентильдекель аббауен.

(3)

Zündspulen ausbauen.

(4)

Zündkerze mit geeignetem Schlüssel ausbauen.

(5)

3 Инъектор-Кабельштекер абклеммен.

(6)

Zündkerze и Motormasse halten.

(7)

Funkenschlag an jeder Zündkerze überprüfen, während der Motor дурчгекурбельт вирд.

Den Motor nicht mehr as 5 Sekunden durchkurbeln.

3.

Wenn keine Funken erzeugt werden, den folgenden Test durchführen..

4.

Zündkerzen mit geeignetem Zündkerzenschlüssel einbauen.

5.

Zündspulen Einbauen.

6.

Motorabdeckung (A) и mittlere Ventildeckel (B) des Motors einbauen.

Фелерзух
Фелерзух

Проблема
Бетроффенес Баутей
Масснаме
Motor springt schlecht oder gar nicht an
(Мотор дрехт сич)
Zündsperrenschalter
Zündschalter prüfen und bei Bedarf ersetzen
Зюндспуле
Zündspule prüfen und bei Bedarf ersetzen
Зюндкерцен
Zündkerzen prüfen und bei Bedarf ersetzen
Verkabelung der Zündanlage getrennt oder unterbrochen
Verkabelung instand setzen oder nach Bedarf ersetzen
Unrunder Leerlauf oder Motor Stirbt AB
Веркабелунг дер Zündanlage
Verkabelung instand setzen oder nach Bedarf ersetzen
Зюндспуле
Zündspule prüfen und bei Bedarf ersetzen
Моторный блок/unzureichende Beschleunigung
Zündkerzen и Zündkabel
Zündkabel / Zündkerzen prüfen oder nach Bedarf ersetzen
Веркабелунг дер Zündanlage
Verkabelung instand setzen oder nach Bedarf ersetzen
Hoher Kraftstoffverbrauch
Zündkerzen и Zündkabel
Zündkabel / Zündkerzen prüfen oder nach Bedarf ersetzen

Темпомат-Шальтер
Bauteile und bauteile-Übersicht BAUTEILE-ÜBERSICHT 1. Fernbedienungsschalter ссылки (Аудио + Freisprecheinlage + Sprache) 2. Fernbedienungsschalter rechts ...
Зюндспуле
Beschreibung und bedienung Beschreibung Eine Zündspule ist eine Induktionsspule in einem Motorzündsystem, dass die niedrige Spannung der Batterie in die Hochspannung umwandelt, die b ...
Дополнительная информация:

Kia Stonic (YB) Reparaturanleitung: Замена стабилизатора


Репаратурверфарен Аусбау 1. Kreuzgelenkschraube (A) entfernen. Anzugsdrehmoment: 32,4 ~ 37,5 Нм (3,3 ~ 3,8 кгм) ...