Kia Optima: Система рулевого управления / Электроусилитель руля

Руководство по ремонту и обслуживанию Kia Optima DL3 2019-2023 гг. / Рулевая система / Рулевое управление с электроприводом

Описание и работа
Описание

Система рулевого управления с электроприводом (MDPS) использует электродвигатель, чтобы помочь рулевое усилие, и это независимая от работы двигателя система рулевого управления.

Модуль управления MDPS управляет работой двигателя в соответствии с информацией полученный от каждого датчика и CAN (локальная сеть контроллеров), что приводит к более точное и своевременное управление усилителем рулевого управления по сравнению с обычными двигателями гидравлические системы. Компоненты (датчик угла поворота рулевого колеса, датчик крутящего момента, предохранительное реле, д.) системы MDPS расположены внутри рулевой колонки. сборка блока МСПП, Рулевая колонка и блок MDPS в сборе не должны разбираться для осмотра. При необходимости их следует заменить.

(Однако замена частей по технической связи должна следуйте инструкциям.)

※ Частичные детали (2 шт.)

: Колонка и корпус в сборе, блок питания MDPS

Компоненты и расположение компонентов
Компоненты

1. Рулевое управление столбец
2. Карданный шарнир
3. Рулевой редуктор
4. Пылезащитный колпачок
5. МДПС Блок питания в сборе (двигатель + электронный блок управления)
6. Наконечник рулевой тяги
7. Мотор
8. ЭБУ

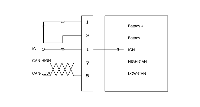
Принципиальные диаграммы
Схематические диаграммы

Терминальная функция

Тип
Пин №
Описание
Батарея
1
Батарея +
2
Батарея -
Скорость автомобиля
1
Сигнал зажигания
2
-
3
-
4
-
5
-
6
-
7
High_CAN
8
Низкий_CAN

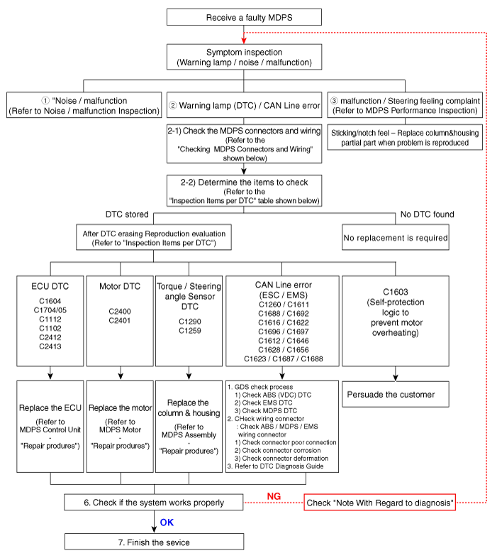
Процедуры ремонта
Процедуры ремонта АС

Рабочий процесс A/S системы MDPS

① Шум/неисправность осмотр

② Контрольная лампа (DTC) / Ошибка линии CAN

2 - 1 Проверка разъемов и проводка

1.

Проверка разъемов и проводки.

Проверьте наличие повреждений, отталкивания или неправильного соединения в каждом разъеме. и проводка.

(1)

Проверьте проводку со стороны автомобиля.

Проверить на обрыв/короткое замыкание из-за неправильного соединения, повреждения или инородного тела.

(2)

Проверьте проводку со стороны ЭБУ (двигатель 3-фазное питание).

Проверить на обрыв/короткое замыкание из-за неправильного соединения, повреждения или инородного тела.

(3)

Проверьте разъем двигателя.

Расширение терминала и повреждение

Двигатель MDPS необходимо заменить, если разъем или клеммы повреждены.

(4)

Проверьте проводку двигателя.

Двигатель MDPS необходимо заменить, если разъем или клеммы повреждены.

(5)

Снимите втулку (А) и проверьте проводку на датчике крутящего момента. Сторона датчика угла поворота (TAS) (B) и сторона ECU (C).

Проверьте на наличие повреждений, проскальзывания или неправильного соединения в каждого разъема и проводки.

Двигатель MDPS необходимо заменить, если разъем или клеммы повреждены.

Проверьте проводку датчика угла крутящего момента (TAS) в случай C1259/C1290 DTC.

2 - 2 предмета проверки по коду неисправности

код неисправности
Проблема
Первый метод анализа
Как ремонтировать
C1290
Ошибка сигнала датчика крутящего момента
Сначала сотрите DTC, проверьте соединение разъема.
В случае повторения замените колонку и корпус.

C1112
Ошибка напряжения датчика крутящего момента
Проверьте разъем между датчиком крутящего момента и ЭБУ.
В случае повторения замените ЭБУ.
C1705
Аппаратная ошибка ЭБУ
Сначала сотрите DTC, а затем проверьте, проверьте разъем ЭБУ.
C1604
Ошибка перегрузки/разрядки ЭБУ
C2413
Аппаратная ошибка ЭБУ
C2400
Ошибка сигнала двигателя
В случае возникновения замените двигатель.
C2401
Ошибка цепи двигателя
C2412
Ошибка подачи напряжения на двигатель
Сначала сотрите DTC и проверьте, проверьте разъем ЭБУ/двигателя.
Сначала замените ЭБУ. В случае повторения замените двигатель.
C1259
Ошибка сигнала датчика угла
После сброса нулевой точки и удаления DTC проверьте состояние соединения разъема.
В случае повторения замените колонку и корпус.
C1261
Ошибка установки нуля
После сброса нулевой точки повторите проверку.
Сбросьте установку нуля.
C1102
Проблема с напряжением аккумулятора
Проверьте состояние напряжения батареи.
Зарядите напряжение батареи.
C1696, C1697
Ошибка сигнала SPAS
Проверьте СПАС.
Сотрите DTC (MDPS не подлежит замене).
С1612,С1646
Ошибка сигнала TCU
Проверьте ТКУ.
C1628, C1656
Ошибка сигнала комбинации приборов
Проверьте комбинацию приборов.
C1692, C1693
Ошибка сигнала VSM
Проверьте ВСМ.
C1260
Ошибка сигнала датчика угла
После сброса угла перепроверьте. Если C1259 не возникает, проверьте линию CAN.
Сбросить датчик угла. Стереть код неисправности.
C1611
CAN тайм-аут EMS
1. Проверьте состояние G-SCAN.
2. Проверьте соединение разъема.
3. Проверьте линию CAN ЭБУ.
4. Проверьте линию заземления MDPS.
Проверьте линию EMS CAN.
C1616
CAN-ШИНА ВЫКЛ.
Проверьте линию CAN шасси.
C1622
Ошибка сигнала скорости автомобиля
Проверьте EMS (ЭБУ двигателя).
С1623,С1687,С1688
Может тайм-аут Датчик угла поворота рулевого колеса
1. Проверьте разъем питания MDPS и предохранитель.
2. Проверьте линию заземления MDPS.
3. Проверьте линию CAN MDPS ECU / VSM.
4. Статус связи с GDS/KDS
В случае повторения замените ЭБУ.
(тяжелое рулевое управление и отсутствие связи)

③ Производительность MDPS осмотр

1.

Проверьте угол поворота рулевого колеса и коды DTC, относящиеся к системе рулевого управления.

2.

Проверка больших усилий на рулевом колесе

(1)

Проверьте давление в шинах и ширину.

(2)

Проверьте коды DTC, относящиеся к ошибке связи CAN.

(3)

Проверьте сход-развал колес.

④ Общие проблемы MDPS

Дело 1
Случай 2
Случай 3

Шум многофункционального переключателя
Шум часовой пружины
DAB/проводной шум
Заменить многофункциональный переключатель
Заменить часовую пружину
Переставить и заменить DAB

Случай 4
Случай 5
Случай 6

Шум многофункционального переключателя
Дефект крепления гайки МБ
Дефект крепления гайки М10
Заменить многофункциональный переключатель
Затяните гайку
Затяните гайку

Случай 7
Случай 8

Дефект крепления верхнего болта капота
Дефект крепления гайки кожуха
Затяните верхний болт кожуха
Заменить часовую пружину

Меры предосторожности при обращении с MDPS (усилитель руля с электроприводом)

Отказ происходит из-за внутреннего повреждения из-за падения и удар и чрезмерное внешнее воздействие на новый частичный компонент.

→ Остерегайтесь ударов по частичному компоненту и замените поврежденную деталь (из-за падения и т. д.) на новую.

При креплении руля чрезмерный удар может привести к скручиванию центральная точка датчика крутящего момента.

При снятии/установке разъема возможно повреждение проводки (деформируется) чрезмерной внешней силой.

Будьте осторожны при хранении и замене отдельных компонентов. в условиях аномальной температуры и влажности.

Рулевое колесо с подогревом
Описание и работа Описание Система обогрева рулевого колеса повышает температурный комфорт водителя за счет подогрев руля при ручном выборе. 1. ...
Система МСПД
Процедуры ремонта осмотр 1. Неисправность силового агрегата МСПД можно быстро диагностировать с помощью автомобиля система диагностики (КДС). (1) Самостоятельный ...
Дополнительная информация:

Руководство по ремонту и обслуживанию Kia Optima DL3 2019-2023: Лючок бензобака


Компоненты и расположение компонентов Расположение компонентов 1. Привод разблокировки лючка топливного бака ...

Руководство по ремонту и обслуживанию Kia Optima DL3 2019-2023: Система охлаждения


Процедуры ремонта осмотр Шланги радиатора 1. Проверьте шланги радиатора на следующее: (1) Неправильное крепление (2) Утечки (3) Трещины (4) ...