Kia Rio: система автоматической коробки передач / система автоматической коробки передач

Kia Rio 2017-2023 YB Руководство по ремонту / Автоматическая трансмиссия / Система автоматической коробки передач

Процедуры ремонта
Процедуры ремонта

Срыв гидротрансформатора Тест

Этот тест измеряет максимальную скорость двигателя, когда рычаг селектора находится в положении «D». или "R" и преобразователь крутящего момента останавливается для проверки работы крутящего момента преобразователь, стартер и односторонняя муфта, а также удерживающая способность фрикционов и тормозов в трансмиссии.

Не позволяйте никому стоять перед или позади автомобиля во время проводится испытание.

1.

Проверьте уровень и температуру жидкости в автоматической коробке передач, а также температура охлаждающей жидкости двигателя.

Уровень жидкости: На отметке HOT указателя уровня масла.

Температура жидкости: 80–100°C (176–212°F)

Температура охлаждающей жидкости двигателя: 80–100°C (176–212°F)

2.

Проверьте оба задних колеса (левое и правое).

3.

Потяните рычаг стояночного тормоза, полностью выжав педаль тормоза.

4.

Запустить двигатель.

5.

Переведите рычаг селектора в положение «D», полностью нажмите на педаль акселератора. педали и измерьте максимальную скорость двигателя в это время.

Дроссельную заслонку больше нельзя оставлять полностью открытой. чем 5 секунд.

При проведении теста на сваливание два или более раз переместите рычаг селектора в положение «N» и запустить двигатель при 1000 об/мин для охлаждения жидкости автоматической коробки передач вниз перед проведением последующих испытаний.

Переместите рычаг селектора в положение «R» и выполните снова тот же тест.

Скорость вращения при остановке: 2000–2700 об/мин.

Диапазон
Состояние
Проходимая причина
Проскальзывание диапазона R
Обеспечить регресс
REV в диапазоне D в норме
L/R в диапазоне D ненормально
Промах диапазона D1
Диапазон D 1-й/ Спортивный режим 1-й
L / R в обратном диапазоне ненормально
UD в обратном диапазоне в норме
Проскальзывание диапазона D3
3-я передача удержание
OD на 3-й передаче проскальзывает
(1-я и 2-я передачи в норме)
Поступательное, обратное скольжение
Д-диапазон, Р-диапазон
Гидротрансформатор
Масляный насос, Ручной клапан в клапане
Ненормальное вождение устройства

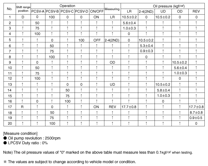
Гидравлическое давление Тест

1.

Прогрейте двигатель до тех пор, пока температура жидкости автоматической коробки передач не станет 80–100°C (176–212°F).

2.

Поднимите автомобиль домкратом, чтобы колеса могли свободно вращаться.

3.

Соединить специнструмент(09452-21500, 09452-21000, 09452-21600) масло манометр к каждому порту сброса давления.

4.

Измерьте гидравлическое давление в каждом порту при заданных условиях. в таблице стандартного гидравлического давления и убедитесь, что измеренные значения находятся в пределах стандартных значений.

5.

Если значение выходит за пределы стандартного диапазона, устраните проблему, обратившись к к диагностической таблице проверки гидравлического давления.

1. КРАСНЫЙ порт давления
2. Порт давления наружного диаметра
3. 2-й порт давления
4. Порт давления REV
5. Порт давления DA
6. Порт давления UD
7. Порт давления LR
8. Порт давления ДР

Стандартный гидравлический Таблица давления

[Условие измерения]

Вращательное семя масляного насоса: 2500 об/мин

Положение ручного клапана: "D"

Состояние электромагнитного клапана: 3-й

Коэффициент продолжительности LP Sol: 0 %

Ставка пошлины PCSV-A: 0 %

PCSV-B Процентная ставка: 100 %

PCSV-C Пошлинная ставка: 0 %

ВКЛ./ВЫКЛ. Солнечная нагрузка: ВЫКЛ.

Нет.
PCSV-D Дежурная ставка (%)
DA Давление [кгс/см²]
DR Давление [кгс/см²]
1
0
3,4 ± 0,8
5,2 ± 0,8
2
50
2,3 ± 0,5
Макс. 0,2
3
100
9,0 ± 0,8
Макс. 0,2

* Удовлетворяет вышеуказанному условию в обеих восходящих частях PCSV-D Sol (0 → 100%) и нисходящая часть (100 → 0%).

* Пропускная способность PCSV-D Sol при давлении DA 0,2 кгс/см² должна пройти в пределах 20-30%.

* Минимальное значение должно быть ниже 0,2 кгс/см².

Трос переключения передач
Компоненты и расположение компонентов Компоненты 1. Рукоятка рычага переключения передач и чехлы 2. Рычаг переключения передач в сборе 3. Трос переключения передач в сборе Процедура ремонта...
Автоматическая коробка передач
Компоненты и расположение компонентов Компоненты 1. Переключатель блокировки 2. Опорный кронштейн коробки передач 3. Датчик входной скорости 4. Кронштейн роликовой тяги 5. Суппорт штанги...
Дополнительная информация:

Руководство по эксплуатации Kia Rio 2017-2023 YB: Солнцезащитная шторка, сброс люка на крыше


зонтик При открывании люка также открывается солнцезащитная шторка. Когда люк закрыт, солнцезащитный козырек можно закрыть вручную. Сброс люка Всякий раз, когда аккумуляторная батарея автомобиля отсоединена или разряжена, или соответствующий предохранитель перегорел. взорван, вы должны перезагрузить систему люка следующим образом: 1....

Руководство по эксплуатации Kia Rio 2017-2023 YB: Выключатель стеклоочистителя и омывателя заднего стекла (для 5 дверей)


■ Тип А ■ Тип Б Выключатель стеклоочистителя и омывателя заднего стекла расположен на конце дворника и рычаг включения омывателя. Поверните переключатель, чтобы включить задний стеклоочиститель и омыватель. ВКЛ - нормальная работа стеклоочистителей (1) HI — высокая скорость стеклоочистителя (2) LO — Низкая скорость стеклоочистителя (3) OFF - Стеклоочиститель не работает ...