Kia Forte: Рулевое управление / Электроусилитель руля

Киа Kia Forte 2019-2023 (БД) Руководство по ремонту / Рулевая система / Рулевое управление с электроприводом

Описание и работа
Описание

В системе MDPS (усилитель руля с электроприводом) используется электродвигатель, помогающий сила рулевого управления и это независимая от работы двигателя система рулевого управления.

Модуль управления МСПП управляет работой двигателя в соответствии с полученной информацией от каждого датчика и CAN (локальной сети контроллеров),

В результате обеспечивается более точное и своевременное управление усилителем рулевого управления, чем при обычном гидравлические системы с приводом от двигателя. Компоненты (датчик угла поворота рулевого колеса, датчик крутящего момента, Реле отказоустойчивости и др.) системы МДПС расположены внутри рулевой колонки. Запрещается разбирать узел МСПД, рулевую колонку и узел МСПД. для проверки. При необходимости их следует заменить.

Компоненты и расположение компонентов
Компоненты

1. Рулевое управление столбец
2. Карданный шарнир
3. МСПП двигатель
4. ЭБУ МДПС

Принципиальные диаграммы
Схематические диаграммы

Соединитель жгута

Тип
Пин №
Описание
Батарея
1
Батарея +
2
Батарея -
ВСС
1
IGN
2
-
3
-
4
-
5
-
6
-
7
ВЫСОКАЯ МОЖЕТ
8
НИЗКИЙ МОЖЕТ

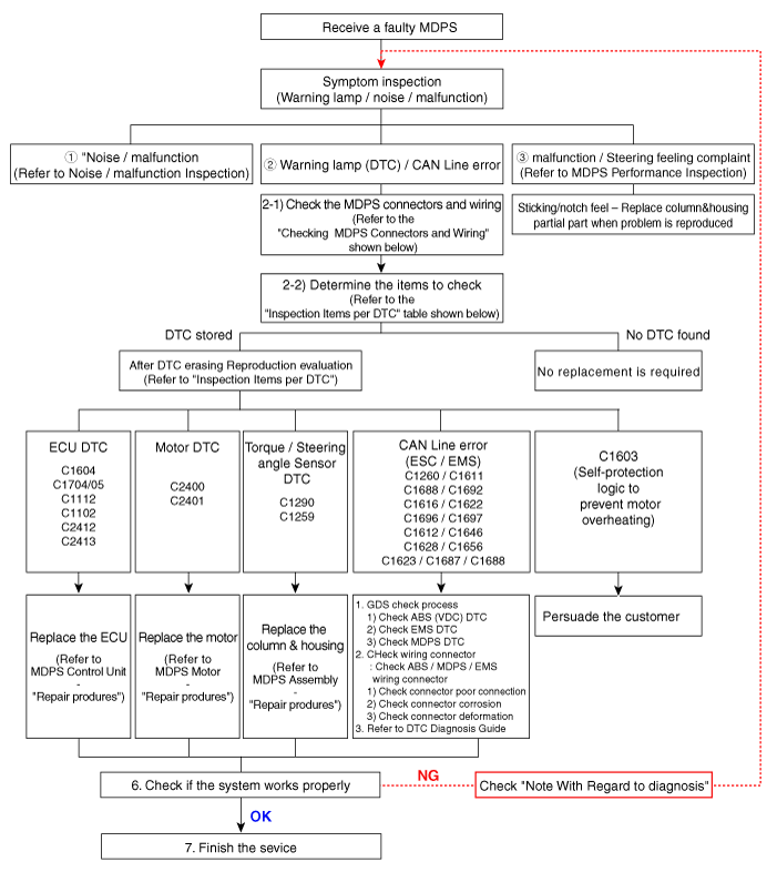
Процедуры ремонта
Процедуры ремонта АС

Рабочий процесс A/S системы MDPS

① Шум/неисправность Проверка

② Контрольная лампа (DTC) / Ошибка линии CAN

2 - 1 Проверка разъемов и проводки

1.

Проверка разъемов и проводки.

Проверьте наличие повреждений, отталкивания или неправильного соединения в каждом разъеме. и проводка.

(1)

Проверьте проводку со стороны автомобиля.

Проверить на обрыв/короткое замыкание из-за неправильного соединения, повреждения или инородного тела.

(2)

Проверьте проводку со стороны ЭБУ (двигатель 3-фазное питание).

Проверить на обрыв/короткое замыкание из-за неправильного соединения, повреждения или инородного тела.

(3)

Проверьте разъем двигателя.

Расширение терминала и повреждение

В случае возникновения необходимо заменить двигатель MDPS. терминальное расширение и повреждение.

(4)

Проверьте проводку двигателя.

Необходимо заменить двигатель MDPS в случае повреждения или проблема.

(5)

Снимите втулку (A) и проверьте проводку со стороны TAS. (B) и со стороны ЭБУ (C).

Проверьте на наличие повреждений, проскальзывания или неправильного соединения в каждого разъема и проводки.

Необходимо заменить узел MDPS в случае повреждения или проблема.

Проверьте проводку TAS в случае кода неисправности C1259/C1290.

2 - 2 элемента проверки на DTC

код неисправности
Проблема
Первый метод анализа
Как ремонтировать
C1290
Ошибка сигнала датчика крутящего момента
Сначала сотрите DTC, проверьте соединение разъема.
В случае повторения замените колонку и корпус.

C1112
Ошибка напряжения датчика крутящего момента
Проверьте разъем между датчиком крутящего момента и ЭБУ.
В случае повторения замените ЭБУ.
C1705
Аппаратная ошибка ЭБУ
Сначала сотрите DTC, а затем проверьте, проверьте разъем ЭБУ.
C1604
Ошибка перегрузки/разрядки ЭБУ
C2413
Аппаратная ошибка ЭБУ
C2400
Ошибка сигнала двигателя
В случае возникновения замените двигатель.
C2401
Ошибка цепи двигателя
C2412
Ошибка подачи напряжения на двигатель
Сначала сотрите DTC и проверьте, проверьте разъем ЭБУ/двигателя.
Сначала замените ЭБУ. В случае повторения замените двигатель.
C1259
Ошибка сигнала датчика угла
После сброса нулевой точки и удаления DTC проверьте состояние соединения разъема.
В случае повторения замените колонку и корпус.
C1261
Ошибка установки нуля
После сброса нулевой точки повторите проверку.
Сбросьте установку нуля.
C1102
Проблема с напряжением аккумулятора
Проверьте состояние напряжения батареи.
Зарядите напряжение батареи.
C1696, C1697
Ошибка сигнала SPAS
Проверьте СПАС.
Сотрите DTC (MDPS не подлежит замене).
С1612,С1646
Ошибка сигнала TCU
Проверьте ТКУ.
C1628, C1656
Ошибка сигнала комбинации приборов
Проверьте комбинацию приборов.
C1692, C1693
Ошибка сигнала VSM
Проверьте ВСМ.
C1260
Ошибка сигнала датчика угла
После сброса угла перепроверьте. Если C1259 не возникает, проверьте линию CAN.
Сбросить датчик угла. Стереть код неисправности.
C1611
CAN тайм-аут EMS
1. Проверьте состояние G-SCAN.
2. Проверьте соединение разъема.
3. Проверьте линию CAN ЭБУ.
4. Проверьте линию заземления MDPS.
Проверьте линию EMS CAN.
C1616
CAN-ШИНА ВЫКЛ.
Проверьте линию CAN шасси.
C1622
Ошибка сигнала скорости автомобиля
Проверьте EMS (ЭБУ двигателя).
С1623,С1687,С1688
Может тайм-аут Датчик угла поворота рулевого колеса
1. Проверьте разъем питания MDPS и предохранитель.
2. Проверьте линию заземления MDPS.
3. Проверьте линию CAN MDPS ECU / VSM.
4. Статус связи с GDS/KDS
В случае повторения замените ЭБУ.
(тяжелое рулевое управление и отсутствие связи)

③ Проверка производительности MDPS

1.

Проверьте угол поворота рулевого колеса и коды DTC, относящиеся к системе рулевого управления.

2.

Проверка больших усилий на рулевом колесе

(1)

Проверьте давление в шинах и ширину.

(2)

Проверьте коды DTC, относящиеся к ошибке связи CAN.

(3)

Проверьте сход-развал колес.

④ Общие проблемы MDPS

Дело 1
Случай 2
Случай 3

Шум многофункционального переключателя
Шум часовой пружины
DAB/проводной шум
Заменить многофункциональный переключатель
Заменить часовую пружину
Переставить и заменить DAB

Случай 4
Случай 5
Случай 6

Шум многофункционального переключателя
Дефект крепления гайки МБ
Дефект крепления гайки М10
Заменить многофункциональный переключатель
Затяните гайку
Затяните гайку

Случай 7
Случай 8

Дефект крепления верхнего болта капота
Дефект крепления гайки кожуха
Затяните верхний болт кожуха
Заменить часовую пружину

Меры предосторожности при обращении с MDPS (усилитель руля с электроприводом)

Отказ происходит из-за внутреннего повреждения из-за падения и удар и чрезмерное внешнее воздействие на новый частичный компонент.

→ Остерегайтесь ударов по частичному компоненту и замените поврежденную деталь (из-за падения и т. д.) на новую.

При креплении руля чрезмерный удар может привести к скручиванию центральная точка датчика крутящего момента.

При снятии/установке разъема возможно повреждение проводки (деформируется) чрезмерной внешней силой.

Будьте осторожны при хранении и замене отдельных компонентов. в условиях аномальной температуры и влажности.

Рулевое колесо с подогревом
Описание и работа Описание Система обогрева рулевого колеса улучшает температурный комфорт водителя за счет подогрев руля при ручном выборе. Спец...
МДПС Мотор
Процедуры ремонта Замена • При возникновении кода неисправности, относящегося к двигателю MDPS, проверьте соединение ...
Дополнительная информация:

Kia Forte 2019-2023 (BD) Руководство по эксплуатации: Сигналы поворота и смена полосы движения сигналы


Выключатель зажигания должен быть включен для поворотники работают. Включать сигналы поворота, переместите рычаг вверх или вниз (А). Индикаторы с зелеными стрелками на панели приборов указать какой поворотник работает. Они самоотменяются после завершения хода. завершенный. Если индикатор со...

Kia Forte 2019-2023 (BD) Руководство по эксплуатации: На склонах, Перестроение


На склонах Во время движения в гору или на спуске умная система круиз-контроля может не сразу обнаружить движущееся автомобиль на вашей полосе и может заставить ваш автомобиль разогнаться до заданную скорость. Кроме того, транспортное средство скорость может быстро снижаться, когда машина впереди внезапно...